明古微半导体
MGME SEMICONDUCTOR
碳化硅功率器件+电驱方案
新能源汽车.充电桩.工业电源.光伏储能.电力电子.低空飞行器...

国产碳化硅 就找明古微
技术学院
STUDY
摘要:为了获取碳化硅(SiC)MOSFET功率器件静态特性及寄生电容随温度的变化规律,以 Gree 公司第二代 1200V/36A碳化硅 MOSFET为研究对象,利用Agilent B1505A功率器件分析仪/曲线追踪仪在不同温度下对器件的静态特性及寄生电容进行测量。并基于已有硅(Si)MOSFET的静态特性理论,结合碳化硅材料的温度特性,详细分析了碳化硅 MOSFET静态特征参数的温度特性。研究结果表明碳化硅MOSFET 的跨导具有与硅器件完全不同的温度特性,并且相比于第一代碳化硅 MOSFET,第二代器件的泄漏电流表现出更低的温度依赖性。然而随着温度升高,第二代碳化硅 MOSFET的导通电阻较第一代增长更快,但增长依旧远低于硅MOSFET.
关键词:碳化硅MOSFET;温度特性;理论分析;实验测量
0 引言
碳化硅MOSFET功率器件作为新型宽禁带功率半导体器件一员,相比于同等级的硅基器件而言具有更高的击穿电压、更低的导通电阻以及更好的高温运行能力[1],与硅IGBT 进行了相比。其开关损耗和导通损耗更低、耐受结温和工作频率更高[2],其未来很有希望在高速、高压应用领域中替代硅器件(例如硅IGBT)[3]。由于具有更宽的带隙和更高的导热性,碳化硅MOSFET理论上能够在300℃以上的条件下工作。此外,最近的研究表明,碳化硅MOSFET栅极氧化物的可靠工作温度超过200℃,并且碳化硅JFET在超过 200℃的结温下运行依然十分可靠[4-5]。因此,高温下碳化硅MOSFET器件的器件特性测试和评估对于其高温应用非常重要。
现在碳化硅MOSFET温度特性的研究主要来自于两方面,一方面是器件自身的数据手册,但是数据手册在高温方面对转移特性曲线及输出特性曲线只给出了150℃的数据。另一方面是基于实验研究,文献[6-7]分别对ROHM和Cree第一代碳化硅MOSFET的温度特性做了详细研究,但是所有研究均为一种器件的实验研究,不具有普遍性,因此其温度实验结果不能直接应用于最新一代的碳化硅 MOSFET。文献[8]重点对高温下碳化硅MOSFET与硅IGBT的静态特性的差异进行讨论而对于碳化硅MOSFET静态特性随温度变化的原因并没有给出分析。文献[9]对Cree、ROHM半导体以及General Electric(GE)三家公司的五种型号碳化硅MOSFET(CMF20120D、C2M0080120DGE12N20L、SCT2080KE、SCT2160KE)进行了对比,而在温度特性方面,只讨论了阈值电压及导通电阻,其他并未讨论。此外,上述文献都只是对实验现象进行描述,并没有从理论上对这种温度特性进行怌仄嗜解释。因此,为了在实际应用之前,系统设计人员能够更好地理解和掌握TO-247封装碳化硅MOSFET器件的静态特性及寄生电容随温度的变化规律。本文首先利用AgilentBl505A功率器件分析仪/曲线追踪仪在不同温度下对Cree第二代碳化硅MOSFET的静态特征参数及寄生电容进行测量,并与Cree第一代碳化硅MOSFETCMF20120D的实验数据进行对比,分析两代碳化硅MOSFET器件在宽温度范围的差异,总结碳化硅MOSFET器件静态特征参数随温度的变化规律,为其在各种温度工况下应用提供支撑。然后基于已有硅MOSFET的静态特性理论,并结合碳化硅材料的温度特性,在理论方面对碳化硅MOSFET静态特征参数的温控特性讨论,分析影响静态参数温控特性的因素,一方面为碳化硅MOSFET开关瞬态过程的温控特性研究做铺垫另一方面为碳化硅MOSFET的建模提供实验数据和理论依据。
1 实验设备及参数设置
本实验采用具备3000V高压偏置能力的AgilentB1505A与N1259A功率器件分析仪/曲线追踪仪在不同温度下测量Cree碳化硅MOSFETC2M0080120D(Cree公司第二代碳化硅MOSFET器件)的静态特性。实验设备如图1所示,将被测器件(DUT)置于环形加热圈内,通过调节加热圈控制器来使器件达到实验温度。将热电偶紧贴于器件表面,用于实时监测器件温度。考虑到实际使用工况及TO-247器件封装对温度的耐受能力,选取25 ℃、75 ℃、125 ℃、175 ℃、200 ℃作为测试温度点。加热器件时,在每个温度点至少保持3分钟,确保测量时器件结温为目标实验温度保证实验结果的可靠性。

图2为AgilentB1505A功率器件分析仪/曲线追踪仪测量器件静态特性时的原理图,B1505A分别拥有独立支持高电压(HVSMU)和大电流HCSMU)的模块,以及大功率SMU(高达1A/200V)多频率电容测量模块(高达5MHz)。按照[EC60747 相关测试标准[10],利用Agilent B1 505 A对碳化硅MOSFET静态参数进行测量。其中图(a)为静态特性测量原理图,在漏源极连接大电流模块(HCSMU)栅极连接功率模块(HPSMU),根据需要在漏源极之间施加20A的电流脉冲:(b)为漏源极电容Cs测量原理图,而Cs、Cc测量类似,只需在待测电容极连接大功率SMU模块,另外一极接地。静态特性测量时电流及功率模块参数设置见表1。


2 实验研究
碳化硅MOSFET的静态特性主要包括输出特性曲线与转移特性曲线,以及栅极阈值电压、跨导、导通电阻、泄漏电流和栅极电阻等一些参数。首先对静态特征参数及寄生电容的温控特性进行实验研究,并基于已有硅MOSFET的静态特性理论],结合碳化硅材料的温度特性,分析温度对静态特性参数及寄生电容的影响。
2.1 泄漏电流
在额定电压1.2kV下测量器件的泄漏电流如图3所示,在125℃之前,第二代器件的泄/Dss .漏电流随温度升高略有增加,当温度继续上升,泄漏电流只随温度发生小范围的波动,不再有明显的增加。因此泄漏电流整体呈现正温度特性,而该特性是由栅极阈值电压的负温度特性所致,并且第二代器件在所有温度点泄漏电流都小于0.3A,这表明器件在宽温度范围内具有很小的断态损耗。Cree 第二代碳化硅 MOSFET的泄漏电流随温度变化的趋势与第一代相似,但就数值大小而言,第二代碳化硅 MOSFET的泄漏电流仅为第一代的十分之一,因此相较于第一代,第二代碳化硅MOSFET更利于在高温条件下工作。

2.2转移特性及栅极阈值电压
测量时,栅极值电压为漏极电流达到5mA时的栅极电压。温度对转移特性及栅极闽值电压V…的影响如图4、5所示,可以清楚的看出,随着温度的升高,转移特性曲线呈上升趋势,而栅极值电压呈下降趋势。从图5中可以看出,对于碳化硅 MOSFET C2M0080120D.栅极值电压从室温下的2.6V下降到200℃的1.8V,下降将近30%,并且阈值电压随温度的下降关系可以近似为一次线性。
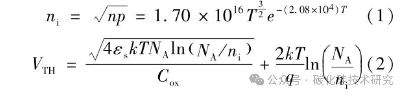
栅极阈值电压VTH为转移特性中一个重要的参数,它可以表示为



式中:ni为本征载流子浓度;n为电子浓度;p为空穴浓度;T为温度;k为玻尔兹曼常数;为相对介电常数;NA,为受主掺杂浓度;q为单位电荷量;Cox为氧化层的特征电容。
由公式(1)和(2)可知,随着温度升高,本征载流子浓度大量增加,最终导致碳化硅MOSFET的阈值电压随温度的升高而降低。考虑到其更快的开关速度,Cree两代碳化硅MOSFET器件都由于较低的阈值电压而更容易发生误触发问题,因此通常都需要负的关断偏置来增加器件的阈值余量及dv/dt 抗扰度。
在不同温度下对影响转移特性的另一重要参数跨导Gm进行测量,结果如图6所示。可以看出,碳化硅MOSFET的跨导随着温度升高而增加这一点与硅 MOSFET不同。由于跨导表征了栅极电压对漏极电流的控制,因此,这种相反的特性将导致碳化硅 MOSFET的开关能量损耗表现出不同的温度依赖性[7]。

MOSFET的跨导被定义为漏极电流微小增量与栅极电压微小增量的比值,它可以表示为

式中:Z为沟道宽度;LCH为沟道长度;VGs为栅极电压;μni为反型沟道电子迁移率。其中反型沟道电子迁移率可由典型的散射机制中体晶格散射μB、表面粗糙度散射μsr、表面声子散射μph和界面态散射μit等几部分表示:

由文献[12]可知,由于温度升高时,界面捕获电荷减少,界面态散射迁移率增加,从而使有效迁移率增加;当温度进一步升高时(T>600K)由于表面粗糙度散射和声子散射加强,使得相应的迁移率的减小大于界面态散射迁移率的增加,从而使电子有效迁移率减小。因此,碳化硅MOSFET反型沟道电子迁移率在600K以下时随温度升高而增加。由公式(3)可知,碳化硅MOSFET的跨导随温度的升高而增大,呈正温度系数,与硅MOSFET 不同。
2.3 输出特性与导通电阻
在不同温度、不同栅极电压下测量碳化硅MOSFET的输出特性,结果如图7所示。当栅极电压较低时(VGs=7V),I-V曲线随温度升高而上升,呈正温度系数,并且具有较高的电导率;当栅极电压较高时(VGs=20V),此时器件完全导通I-V曲线随温度升高而下降,呈负温度系数:然而当栅极电压介于两者之间时(VGs=9V),I-V曲线随温度升高先上升后下降。这种温度特性对于碳化硅MOSFET是唯一的,这是由于碳化硅MOSFET具有负温度系数的沟道电阻RCH所致,并且栅极电压在逐渐增加的过程中,RCH对RDS(on)影响不断减小,当栅极电压达到一定大小时,具有正温度系数的漂移层和JFET区域电阻RDrift、RJFET开始占主导地位。

导通电阻的温度特性在图8中可以更清楚地看出。在VGs=11V时得到的U形曲线展示了RCH和(RDrift+RJFET)的竞争关系。相较于第一代碳化硅MOSFET在VGs=16V时导通电阻依旧表现出负温度系数特性,第二代碳化硅MOSFET的导通电阻在VGs达到14V时就开始单调增加。但是相较于第一代器件,Cree第二代碳化硅MOSFET的导通电阻随温度升高增长更快,完全导通的情况下,在25~200℃范围内,第一代器件导通电阻增大了 40%,而第二代却增大了148%。

温度对于输出特性的影响也可以认为是温度对导通电阻RDS(on)的影响,而导通电阻RDS(on)主要由沟道电阻RCH漂移层电阻RDrift以及JEFT区电阻RJFET构成,其中沟道电阻、漂移层电阻及JEFT区电阻分别可以表示为

式中:WcELL为元胞宽度;pD为漂移层电阻率;PJEFT为JEFT区电阻率:a为电流流动的横截面宽度:Xjp为P型基区结深;WG为栅宽;W0为零偏置时的JFET 区耗尽层宽度。
由式(5)可知,当温度升高时,反型沟道电子迁移率增加,并且阈值电压降低,所以沟道电阻减小,呈负温度系数。而由式(6)和(7)可知,温度升高,漂移层和JFET区电阻率上升,所以漂移层电阻及 JEFT 区电阻随温度升高而增大,呈正温度系数。由于在低栅极电压时,沟道电阻占导通电阻的主导部分,而随着栅极电压逐渐上升,沟道电阻的影响也会不断减小。然而,由于文献[12指出硅MOSFET的反型沟道电子迁移率随温度上升而减小,所以其沟道电阻将呈正温度系数,导通电阻也随温度升高而单调增加。从而导致其导通电阻相较于碳化硅 MOSFET具有更强的温度敏感性。
因此,虽然第二代碳化硅MOSFET的沟道电阻对整个导通电阻的影响更小,但是导通电阻相对于温度更加敏感。综合上述分析,为避免导通电阻的负温度系数特性,一般推荐驱动碳化硅MOSFET的电压为高导通电压。另一方面,RcH的减少部分抵消了RDrift和RJFET的增加部分,这对于降低整个RDS(on)的温度敏感性尤为重要。
2.4 内部栅极电阻
内部栅极电阻是功率MOSFET和IGBT的重要器件参数,因为它可以限制最大开关频率以及确定开关转换器和逆变器中的驱动损耗。然而数据手册只给出了内部栅极电阻的典型值。并且实验表明,内部栅极电阻具有很强的温度依赖性因此需要在实际使用条件下对器件进行测量,以了解其真实值和温度特性。
使用功率器件分析仪中用于功率器件电容测量的LCR模块,并在1MHz的频率下(数据手册值)对内部栅极电阻进行测量,测试结果如图9所示。25℃时的内部栅极电阻为4.41Ω.并且随温度升高而减小。另一方面,随着温度升高,内部电阻下降的速率减小,当温度大于125℃时,其阻值基本保持不变。

2.5 结电容
碳化硅MOSFET器件内部包含三个寄生的容性元件,它们分别是栅漏极电容CGD、漏源极电容CDS和栅源极电容CGS,如图10所示。使用AgilentB1505A功率器件分析仪/曲线追踪仪在不同温度下对碳化硅MOSFET的三个寄生电容进行测量。而数据手册中通常给出的三个特征电容分别是:反向传输电容CRss、输出电容Coss、输入电容CISs。前者和后者之间的关系可以通过公式(8)进行换算。

因此可得不同温度下结电容与漏源极电压的关系,结果如图11所示

图11中的测量结果表明,寄生电容在0到20V时急剧下降,然后随偏压上升而缓慢下降。显然,由每个电容-漏源极电压(C-V)曲线可以看出在25 ℃、125 ℃、200℃三组温度下的测量值彼此重叠,因此可知SiCMOSFET的C-V特性曲线对温度不敏感,
为了更清楚地讨论寄生电容的温度特性,根据式(9)可以求出200℃时各寄生电容相对于25℃时对应电容变化的百分比,结果如图12所示。可以看出,CDS对温度的敏感性最大,而且随着漏源极电压的增加,温度对CDS的影响会越来越小。另一方面,CGS和CDCGD对温度的变化几乎不敏感,200℃和25 ℃相比,CGS的差异都不超过1%。而CGD的变化也在1%上下浮动,这是因为在高漏源极电压下,CGD自身的数值较小,所以微小的测量差异会导致数据呈现较大的波动。

实际上,在特定的MOSFET中,相比其他两个电容,只有漏源极电容CDS相对于温度比较敏感[13],其中CDS可以表示为

当温度升高时,本征载流子浓度增加,导致内建电势增加,由公式(10)(11)和(12)可知,源极电容CDS会随温度升高而增加。但是CDS受到漏源极电压与温度的共同影响,且内建电势Vbi本身较小,所以当漏源极电压升高,温度对CDS的影响也会减小。
3 结论
本文首先在不同温度下对Cree第二代碳化硅MOSFET的静态特特征参数及寄生电容进行了实验测量,并分析了碳化硅MOSFET的静态特性及寄生电容的温控特性。实验表明,Cree第二代碳化硅MOSFET在200℃时依旧表现出良好的电学性能,并且得到关于其温度特性的结论。所得结论如下:
(1)与硅MOSFET以及Cree第一代碳化硅MOSFET相比,第二代碳化硅MOSFET泄漏电流非常低,断态损耗小,更易于在高温环境中使用。
(2)碳化硅MOSFET栅极阈值电压随温度升高而降低,并且在整个温度范围内偏低,因此需要设置负的关断偏置来增加器件的阈值余量及dv/dt抗扰度;与硅 MOSFET不同,碳化硅 MOSFET的跨导随温度升高而增加,而这种相反的特性将导致碳化硅MOSFET的开关能量损耗表现出不同的温度依赖性。
(3)碳化硅MOSFET的导通电阻较小,并且其温控特性还受栅源极电压的控制,相较于第一代碳化硅 MOSFET,第二代器件导通电阻的负温度特性有所改善,但总体导通电阻增长更快,这说明在高温下,第二代器件的导通损耗将远高于第一代器件。此外,为避免导通电阻呈现负温度特性,建议碳化硅 MOSFET选取较高的驱动电压。
(4)内部栅极电阻呈负温度系数,200℃时较室温减少28%左右,可以在栅极串联电阻减小内部栅极电阻影响,降低其对开关延时及能量损耗的影响:温度对内部结电容而的影响很小,因此在开关阶段基本不用考虑其温度特性带来的影响。



SiC MOS
更多信息请关注
微信公众号
邮箱:ymq@mgmsemi.com
深圳:深圳市光明区光明街道华强科技生态园5A栋1216
成都:成都市高新区双柏路68号汇创天下科技园西区1栋9层907
长沙:长沙市岳麓区麓谷科技创新创业园A1栋2404
上海:上海市闵行区万源路2161弄150号1号楼318
菲律宾:12 Ibayo St, Manila, Metro Manila, Philippines