明古微半导体
MGME SEMICONDUCTOR
碳化硅功率器件+电驱方案
新能源汽车.充电桩.工业电源.光伏储能.电力电子.低空飞行器...

国产碳化硅 就找明古微
技术学院
STUDY
摘要:设计了一种Buck-Boost负压关断电平产生电路。通过引入动态调整关断时间的计时模块、分段电流限模块和纹波高速检测模块,实现了在耗尽型GaN器件快速开关时稳定栅极负压的供给,有效消除了耗尽型GaN器件在高压应用时密勒误开启现象的发生。电路基于0.35um BCD工艺进行设计与仿真验证。结果表明,该电路在宽输入范围内稳定输出-14V的负压,在20〜130mA恒定负载电流下工作效率达80〜87%,在0.5〜1MHz的工作频率下GaN器件栅极开关切换期间输出电压依然稳定。该电路满足高压应用需求。
关键词:耗尽型GaN;Buck-Boost变换器;恒定导通时间;高速比较器

0 引言
相较于Si MOSFET,基于第三代宽禁带半导体氮化镓材料制成的功率器件具有更高的击穿电压、 更小的导通阻抗和更高的功率密度,可用性大大提升,成本大大降低[1-3]。GaN器件根据阈值电压的正负分为增强型与耗尽型两类。高压应用时,在开关切换过程中,器件漏端短时间内的电压变化较大, 较高的dV/dt会在寄生结电容上产生感应电流,器件栅极电压抬高,导致增强型GaN器件误开启[4]。耗尽型GaN器件需要负值电压关断器件。如果感应电流引起的过冲电压与栅极关断电压的叠加值小于器件阈值电压,则能避免器件的误开启[5]。与增强型GaN器件相比,耗尽型GaN器件因具有更低的导通阻抗、更小的结电容而适用于高效率的电源应用。
为有效驱动耗尽型GaN器件,需产生负值电压来有效关断器件。目前的常规方案是通过电荷泵电路向片外电容进行储能的技术方法。
以美国TI公司MAX660为例。单级电荷泵电路的输出电压最低值仅有-5.5V,在高压应用时, 无法满足栅极电压小于-12V的安全要求若采用多级电荷泵级联来产生安全关断负压,系统设计难度提高;不同电源轨需引入额外的Level Shift 电路,增加至少6个50 uF片外电容。因此,增加了 芯片面积、PCB板尺寸,降低了系统集成度。
本文提出了一种新颖的Buck-Boost负压产生电路。该电路不受振荡器模块的限制,采用纹波检测比较模块摆脱对外挂电容的依赖,有效提高了负值电压供给范围。利用Buck-Boost结构,通过修改拓扑中功率管的尺寸,调整了系统的带载能力[3,8]。 该电路避免了常规方案中冗余级联结构,增加了带载能力,提高了系统集成度,在较宽负载范围内实现了高输出效率。
文章第1节介绍了 Buck-Boost负压产生电路的设计需求和工作模式,以及在不同工作阶段参与控制功率管栅极的信号,确定输出电压与带载需求; 第2节介绍电路的系统架构和关键模块的设计;第3节给出电路仿真结果;第4节给出结论。
1 Buck-Boost负压产生电路概述
1.1 Buck-Boost负压产生电路的设计需求
本文设计的Buck-Boost负压产生电路可应用于耗尽型GaN功率器件关断电平的高压场景,其应用框图如图1所示。耗尽型GaN功率器件的阈值 电压为-9~-8 V,栅极的过冲电压超过1V,关断时形成的LCR谐振腔会带来2V额外电压波动[1]。 为了提高电路可靠性,该电路的输出电压VNEG。在考虑裕量情况下设计为-14 V。
在考虑电路的带载能力时,GaN功率器件的开关过程是对输入电容Ciss的充放电过程[9]。Ciss电容值通常为130pF。当栅极关断电压为-14V、dv/dt为50 V/ns时,提供栅极关断电压的电源需提供超过20mA的平均电流,瞬态情况下电源需提供超过300mA的电流。

1. 2 Buck-Boost架构与控制策略
与GaN驱动电路协作工作的Buck-Boost电路在建立且稳定输出负压电平VNEC时面临的负载情况有:1)软启过程中的恒定负载;2)稳定输出VNEC后的轻载;3)负载在高频的跳变。为解决上述带载问题,Buck-Boost需工作在连续导通模式(CCM)和断续导通模式(DCM)下。Buck-Boost系统架构如图2所示。Buck-Boost系统的关键信号示意图如图3所示。


上电工作后,Buck-Boost电路在上侧功率管导 通阶段对电感储能,电感电流上升。负载电容给输 出端提供负载电流,因电容中的能量被消耗,VNEG增大,上管导通计时模块产生的Ton信号作为关断上管、开启下管的信号。在下管导通期间,电感给负载提供电流,对输出负载电容充电,两极板之间的压差变大,VNEG逐渐达到目标负压值,上管关断计时模块产生的Toff信号关断下管、开启上管。此阶段为软启动阶段,电感在上侧功率管导通期间的储能要大于功率管关断期间释放的能量,电感电流呈现上升 趋势。当流过电感的电流达到电流限模块设置的上限值后,利用电流限模块屏蔽了Ton信号,CL信号作为关断上管、打开下管的控制信号,系统进入峰值电流控制模式。
随着VNEG逐渐达到目标负压值,为保证系统退出CCM模式而进入稳态DCM模式,以提高系统效率,上管关断期间电感释放能量需大于上管导通阶段的储存能量。上管关断计时模块通过采样VNEG信息来动态调整上管关断时间,使得电感在每个CCM周期中释放的能量大于储存能量,电路进入CCM过渡阶段。此阶段,CL信号不再屏蔽Ton信号,上管导通时间由Ton控制,关断时间由Toff控制。
当VNEG稳定建立后,系统进入DCM模式,上管导通时间依然由上管导通计时模块控制。当上管关断后,ZCS模块通过将 BBSW点的信息与VNEG信息比较后判断电流的流动方向,关断下管来防止电感电流反灌。同时,通过采样VNEG的纹波信息并与参考电压进行比较。一旦反馈信号低于参考电压,纹波检测模块便会屏蔽Toff,维持上下功率管的关态,直至VNEG重新升高到参考电压后再打开上侧功率管,使VNEG稳定在-14V目标值。
2 关键模块设计
DCM模式下电感电流示意图如图4所示。

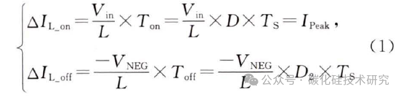
首先确定电路的外围器件参数。该电路需要实 现-14V输出电压和±0.2%输出纹波电压。根据电路DCM模式下的电感电流特征、电感特性,列出电感电流在上侧功率管导通和关断阶段的变化量方程式:

式中,D是上侧功率管导通时间在开关周期Ts内所 占比例,D2则是电感电流在上管关断后降为0的时间在Ts内所占比例。
系统稳定时,电感电流在上管导通与关断期间的增减量应相同,即
。化简式(1),得:

由分析可知,电感仅在D2*TS阶段为负载提供能量,则输出电流表示为:

联立式(1)、(2)、(3),得:

式中,R为电路输出端的等效负载电阻。
VNEG电压纹波是输出电容在D*TS、D3*Ts阶段为负载提供电流时产生的,可用输出电流表示:

由式(5)可推导出电容的取值范围,为:

从1.1节分析可知,输出电流I通常为20mA,在电感设置为22uH、考虑裕量的情况下,设定输出负载电容值为2.2uF。
2. 1上管导通/关断计时模块的设计
Buck-Boost电路在软启动阶段需要通过上管导通/关断计时模块配合工作而产生控制信号Vctr,进一步控制上下功率管的开关。两种模块的设计结构类似,上管导通时间是固定的,而关断时间需根据 VNEG信息和输出电压建立程度进行调整。上管关断 (灰色部分)/导通(黑色部分)计时模块的电路图如图5所示。

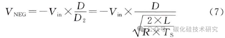
DCM模式下输出电压VNEG为:

从式(7)可得,D=0.29。如果GaN器件以1MHz的速度开关,上侧功率管导通时间则为Ton=290 ns。将Tom的数值代入式(2),得Toff=248 ns.
电路中,Vref设计值为1.2V,MN1~MN4管构成的电流镜结构向Con充电的电流Ion为12uA。Con为:

计算可得,Con值为2.9 pF。
为实现关断时间的动态调整,计时充电电流Ioff由MN14所在支路的固定偏置Ibias与经MN13采样 VNEG。信息转化而来的电流共同构成。通过设计阻值较大的R3,使整体采样跨导Gm约为1/R3,得出上侧功率管的关断时间Toff:

将Toff= 248 ns代入式(9)后,得到Coff值。
2.2电流限模块的设计
结合式(1),对稳定工作在DCM模式的电感电 流分析可得,在上侧功率管关断期间的电感电流减小值为:

若
,那么在 Buck-Boost 电路初 始建立阶段,|VNEG|值越小,越易导致电感中的能量在上管关断期间因降幅较小而迅速提升至较高的峰值,甚至出现磁饱和现象而致器件失效[10]。本文设计了一种电流限模块电路,该电路及波形示意图如图6所示。该电流限模块电路产生CL信号,及时关断上管,减少了电感储能。
电流限比较模块采样与上侧功率管并联的SenseFET漏端电压信息,并与基准电压比较,产生电流限控制信号。比较器的负端输入电压为:

式中,k为Sense FET 与上侧功率管的尺寸之比。比较器的正相输入端与分段基准电压相连,由CL_ctr控制信号经过延迟产生。因此,在不同的时间段流过R的电流分别为I1、I1+I2、I1+I2+I3.。Vref_CL为:

联立式(11)与(12),求出模块设置的电流峰值:

根据电感的特性,系统的最大电流峰值ICLMAX确定为330mA。第一阶段的电流峰值IcL1不能大于电路上电后上管第1次导通时的电感电流△IL_on,其值由式(1)计算,为146 mA,因此,将IcL1设为120mA;第二阶段的电流峰值IcL2设为200mA(60%~80%ICLMAX)。

2.3 纹波比较模块的设计
当VNEG稳定建立后,Buck-Boost电路需进入迟滞控制模式。纹波检测比较器的应用框图如图7所示。信号Vc翻高后,会屏蔽掉Toff信号,D3*Ts的值由Vc调控,从而决定了DCM模式下电路工作频率。
Vc通过采样输出电压纹波信息产生,高速纹波比较器结构如图8所示。

OP1采用折叠式共源共栅结构,正相输入端为零电位,反相输入端与经RFB1、RFB2分压得到的反馈信号相连。该反馈信号的高、低电源轨分别为Vref(1.2V)、VNEG。在输人端有:

代人参数,简化可得,RFB2/RFB1≈11.83。为使电路具有足够理想的分辨率,需将开环增益设计为50dB以上[11]。3级比较器的输出函数为:

式中,Av_1为每级的低频增益,wp_i为每级的一3dB频率。利用式(15)将3级传输函数相乘,忽略高阶项后,为:

式中
为比较器的总差模增益,具体为:


考虑各级的极点频率,则有:

式中,Ri为各级比较器的输出电阻;Ceq_i为输出端的等效电容,为下一级输入两端的栅、源电容之和。由式(16)可推导出高速比较器的时间常数:

联立式(18)和(19)可知,为提高整体响应速度,比较器第1级输人管应为大尺寸元件,且能同时控制后两级输人管。通过减小其栅源电容拓展带宽,可提高系统的响应速度。
纹波检测模块的开环增益与-3dB带宽仿真曲线如图9所示,响应速度仿真曲线如10所示。可以看出,在三种不同工艺角下,开环增益最低值为51.8dB,一3dB带宽最低值为3.23MHz。当GaN器件以1MHz速度开关、输出电压纹波为一5~一8mV范围时,响应时间为32ns。参数均满足设计要求。


3 仿真结果与分析
本文Buck-Boost 电路基于0.35 um BCD工艺设计,仿真参数如表1所示。Vin为12V下输出电压和带载能力仿真曲线如图11所示。


可知,在12V下,电路可在较宽的恒定负载下稳定工作。不同开关频率下电路的带载曲线如图12所示。可以看出,在0.5~1MHz范围内,系统均稳定输出,跳变电压在可接受范围内。
不同输入电压、负载电流下电路的效率分别如表2、表3所示。可知,典型负载条件下,本电路可以在宽范围输入电压下保持80%左右的工作效率;表3显示在典型的输入电压条件下,电路可以在较宽的负载条件下有80~87%的工作效率,满足设计场景的要求。



4 结论
针对耗尽型GaN器件在高压电源应用中负压常关的需求,本文提出了一种Buck-Boost负压产生电路。在CCM模式下动态调整上侧功率管的关断时间,逐步建立负压;利用分段电流限,防止电感过度储能,保证了DCM模式下输出稳定的负压。仿真结果表明,本文Buck-Boost电路的效率较高。该负压电路满足了耗尽型GaN器件高压高频下稳定提供负压的需求,实现了消除密勒误开启、提高可靠性的目标。
**为方便大家沟通,碳化硅 MOS 技术交流群已建,诚邀业内同仁、技术爱好者入群,共探前沿技术,交流实战经验,携手推动行业发展!
同时也欢迎添加作者个人微信交流合作:

感谢深圳市明古微半导体有限公司长期的赞助与支持!国产碳化硅,就找明古微!深圳市明古微半导体有限公司作为爱仕特科技碳化硅MOS/SBD、中科本原DSP、乐山希尔整流桥堆/FRD等的核心代理商,与其深度合作并联合开发碳化硅功率模块、电驱方案、储能系统,致力于为电动汽车、OBC、DC-DC、充电桩、光伏逆变、SVG、PCS、工业电源、家电变频等能源领域提供基于碳化硅功率器件及完整解决方案,更多信息请登录:www.mgmsemi.com
声明:此文部分内容取自网络素材,文中观点仅供分享交流,仅为传递信息为目的,若有来源标注错误或如涉及版权等问题,请与作者联系,将及时更正、删除,谢谢。
SiC MOS
更多信息请关注
微信公众号
邮箱:ymq@mgmsemi.com
深圳:深圳市光明区光明街道华强科技生态园5A栋1216
成都:成都市高新区双柏路68号汇创天下科技园西区1栋9层907
长沙:长沙市岳麓区麓谷科技创新创业园A1栋2404
上海:上海市闵行区万源路2161弄150号1号楼318
菲律宾:12 Ibayo St, Manila, Metro Manila, Philippines