明古微半导体
MGME SEMICONDUCTOR
碳化硅功率器件+电驱方案
新能源汽车.充电桩.工业电源.光伏储能.电力电子.低空飞行器...

国产碳化硅 就找明古微
技术学院
STUDY
摘要:在机载交流电源系统中,为解决在GBJ151B-2013中电源线传导发射测试超标问题,需要对电源输入侧电流谐波进行有效抑制。采用24脉整流技术可大幅降低输入总谐波含量,再利用无源滤波器、陷波器以及共模电感对输入侧超标的特定次谐波和高频干扰进行滤除,从而满足电源传导发射测试的要求。文中首先对不对称式24脉整流电源工作原理进行了介绍,对整流电源输入侧电流及各次谐波含量进行了理论分析和计算;然后结合GBJ151B-2013中传导发射测试的相关限值对输入滤波器进行了设计;最后搭建仿真模型验证了理论分析的正确性,同时结合样机制造和实验测试,对滤波器内部参数和结构拓扑进行调整和进一步优化。电源单元的整机实验验证了文中分析设计的可行性。
关键词:24脉整流;滤波器;电磁兼容;传导发射;谐波抑制
0 引 言
随着雷达性能的不断提升,雷达组件和系统的功率不断加[1],与此同时,由传导、辐射引起的电磁兼容问题也愈加突出。为保证机载雷达设备在复杂电磁环境下的使用,对其电磁兼容性的要求越来越高[2-3]。其中,电源线传导发射测试(CE101和CE102)成为电磁兼容测试中的重点和难点[4].整流电源作为雷达电源系统的第一环,与飞机电网直接相连,在抑制输入电流谐波、提高功率因数、改善电源线传导发射测试中具有重要的作用[5-7]。
目前在飞机交流供电系统中,机载整流电源大多采用多脉冲整流器,其具有可靠性高、成本低、过载能力强等优点。多脉冲整流器主要由移相变压器和多个三相整流桥组成,其中移相变压器对输入三相交流电压进行移相和幅值变换,产生多组相位、幅值满足一定关系的三相电压输出到整流桥,通过整流桥转化为直流电提供给负载[8]。通过移相变压器的绕组可以对输入电流进行方波合成,形成类似于正弦波的阶梯波,从而降低输入电流的交流总谐波畸变率(ATHD)。多脉冲整流的整流脉冲数越高,其输入电流谐波含量越低,但是电路拓扑复杂程度也越高[9-11]。因此,目前实际应用中多采用18脉或者24脉整流,18脉整流的ATHD为 10.1%[12],24脉整流的ATHD为7.5%[13-14]。在输入侧增加无源滤波器(LC滤波器)后,可进一步降低电流谐波含量,从而满足飞机供电特性中对于电流谐波含量的要求。但是,普通的LC滤波器对于某些谐波的抑制效果有限,所以在GJB151B-2013的CE101和CE102测试中,电源输入侧某些高次谐波依然存在超标情况,需要进一步针对实际情况对超标频率处进行抑制,因此对于输入侧滤波器提出了更高的要求。
本文主要针对机载交流电源系统的电磁兼容传导测试进行研究分析,通过采用24脉整流技术和陷波技术相结合的方式大幅降低输入电流谐波,从而提高系统的电磁兼容性。

1 整流电源输入电流分析
1.1 整流电源输入电流
为降低电源体积重量,移相变压器可采用自耦变压器形式。在此基础上24脉整流与18脉整流相比,体积重量基本一致,但是24脉的ATHD更低,在电磁兼容测试中更具有优势。因此,整流电源采用不对称式24脉自耦变压整流器(ATRU),包含自耦变压器和四组整流桥,其电路拓扑与绕组匝数如图1所示。

通过合理设计自耦变压器绕组匝比,移相变换后形成四组相电压矢量,四组整流桥每隔15°将四组相电压合成的电压矢量差值最大的线电压送至输出端,直接形成24脉整流。四组整流桥在同一时刻只有两个二极管导通并形成回路。为保证输出电压恒定,图1中自耦变压器绕组匝比需满足如下比例关系(匝数Np1与Np4相等)。

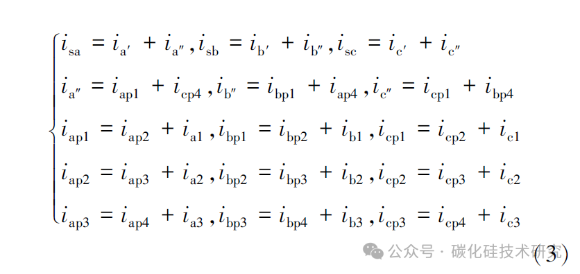
图2为24脉自耦变压器绕组电流图,结合图1中示绕组同名端,根据磁势平衡原理和基尔霍夫电流定律可列出式(2)和式(3)。


以A相为例,将绕组匝比带入式(2)和式(3)可解出A相输入电流为

主整流桥中每个二极管在一个交流周期内连续导通75°,三个辅整流桥只有在线电压瞬时值达到最大时才工作,辅整流桥中的每个二极管在一个周期中只导通15°。整流桥导通时所流过的电流幅值等于输出电流幅值。令Id为整流器输出电流,根据式(4)可合成出整流器输入电流,由于三相对称,故以A相为例,输入电流波形合成如图3所示。

1.2 输入电流谐波含量分析
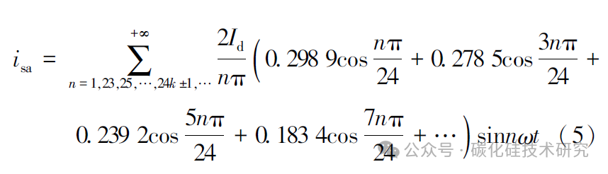
在GJB151B-2013中,电源线传导发射测试分为CE101和CE102两种,主要关注对象为输入电流谐波含量。通过上述分析可求解出整流电源输入电流,进一步对图3所示的电流波形进行傅里叶分解,可得

通过式(5)可知,输入电流谐波主要为24K±1(K=1,2,3,...,n,...)次 谐 波,进 一 步 计 算 出 输 入 电 流ATHD理论值为7.57%。输入电流谐波随着谐波次数的增加,频率越高,有效值越低。在额定输入(115V/400Hz)的情况下,23次(9.2KHz)及 25次(10KHz)谐波含量最高,也更难抑制。
利用仿真软件对不对称式24脉ATRU搭建仿真模型,对无输入滤波器情况下的各频段谐波含量进行仿真分析。ATRU以13KW功率等级进行设定,交流三相输入为(115V/400Hz),整流后负载为6Ω。由于三相对称,在不加滤波器时A相输入电流波形如图4所示,其余两相波形与A相类似。其输入电流的基波有效值约为37.58A。

由图4可以看出,在无滤波器情况下其输入电流为24脉阶梯波,对其进行傅里叶分析,ATHD为7.20%,同时可得到各次谐波含量。由于仿真软件计算能力限制,本文仅分析到500KHz处。图5为CE101频段(800Hz~10KHz)的谐波含量图,图6为CE102频段(10KHz~500KHz)的谐波含量图。

电源线传导发射测试中所规定的限值IdbuA即该频率处电流谐波的最大值,IdbuA与单次谐波有效值I的转换关系为

由于适用对象、功率等级的不同,测试的限值也不一样。其中,CS102适用于所有机载产品,如图7所示。CE102限值为电压限值,与被测试件的额定输入电压相关,图7中所示为基本限值,在115V时限值放宽 6dB,测试频段为10KHz~100MHz。

CE101测试的限值主要适用于反潜飞机,如图8所示。当输入为115V时采用曲线一,其限值不随基波电流值的增大而放宽,测试频段为800Hz~10KHz,800Hz处限值110dB,10KHz处限值90dB。

通过上述各限值与仿真分析的图5和图6进行对比可知,对于在CE101和CE102频段的限值,在无滤波措施的情况下,800Hz~500KHz频段内均存在超标。
2 滤波器谐波抑制分析
输入侧电流合成为24脉阶梯波后,ATHD虽然有所降低,但各次谐波值相比于传导发射测试限值而言依然偏高。从仿真分析可以看出,需要对 CE102频段的谐波进行整体压制,同时在CE101频段,低频的9.2KHz和10.0KHz也需要进行抑制,衰减要达到近20.0dB,因此滤波器必不可少。
滤波器设计可从差模抑制和共模抑制两方面入手。通过增加差模电感和 X电容,改善交流输入波形,使之更接近为正弦波,从而可对全频段的谐波进行抑制,从而减少谐波含量。采用普通的两级式LC滤波器,电感参数约400μH,CE102测试波形如图9所示。

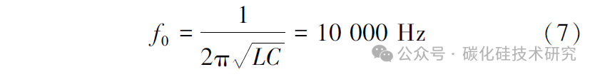
从测试结果来看,常规滤波器不仅参数大,而且低频的10.0KHz处很难抑制。同时电感参数过大,使得滤波器上产生较大压降,整流电源输出电压大幅降低,影响整机效率和功率因素,滤波器的重量体积也变得不可接受。因此,需考虑针对10.0KHz频率处的谐波进行重点抑制,减小滤波器电感参数。在电源滤波器中增加陷波器,陷波器中心频率为10.0KHz,从而减小差模电感量。陷波器采用LC并联谐振电路,在谐振频率f0处阻抗最大,取谐振频率为10.0KHz,则有

综合考虑后,输入差模电感取100μH,X电容取2.0μF,陷波器电感取100μH,电容取2.2μF。除此之外,考虑到高频的共模干扰,在滤波器的末级增加对地电容。对地电容主要针对高频信号,其容值取0.1μF。输入电流功率流向如图10所示。

设定滤波器参数后,在仿真模型中变压器输入端增加滤波器,在相同功率下再次对输入电流及谐波进行仿真,结果如下:
滤波器前端输入电流如图11所示,在增加滤波器后,输入电流由24级阶梯波变为平滑的正弦波,电流谐波大幅降低,仿真测试得到ATHD下降至1.6%。

对A相输入电流进行傅里叶分析,得800Hz~10.0KHz的电流谐波含量如图12所示,图中红线表示CE101电压限值。由于增加滤波器后电流谐波大幅降低,800Hz~10.0KHz的电流谐波均得到抑制,9.2KHz谐波抑制后已大幅降低至约98.0dB。

10.0KHz~500.0KHz的电流谐波含量如图13所示,图中红线为CE102限值。与图8相比,增加滤波器后各次谐波含量总体下降明显,10.KHz次谐波通过陷波后已降低至91.3dB。输入电流谐波中主要奇次谐波含量在增加滤波器前后的对比如表1所示。

综上,通过仿真测试可以分析出,增加滤波器后可通过CE102测试。
3 实验分析
为验证24脉整流及滤波器参数设计的合理性与可行性,对某型产品的电源单元进行电磁兼容测试。电源单元包括整流电源、接收电源和发射电源,电源单元输入额定功率13.0KW,整流电源前端按前文所确定的滤波器参数增加滤波器。为减小滤波器体积重量,滤波器铁芯采用硅钢U型磁芯,并采用扁平铜带进行绕制,减小电感器的高度,提升电感线包的利用空间。
由于CE102适用于所有机载产品,因此首先对CE102进行测试分析,其结果如图14所示。可以看出陷波器对10KHz处抑制效果较好,余量达6.5dB,全频段谐波含量均在限值以内,但是90KHz处余量较小,经查为后端发射电源的开关频率。

由于实验件为电源单元,整流电源后端带有直流!直流转换模块。24脉整流电源中采用自耦变压器,不具备隔离功能,直流 /直流电源变换模块原边的高频开关频率噪声可通过整流电源输出的正负回路传导至交流输入侧,属于高频共模干扰。由于后端功率较大,滤波器中接地电容滤波效果有限。为保证充足余量,滤波器中可增加一级共模电感,加强对高频信号以及共模干扰的抑制效果。增加共模电感后的CE102测试结果如图15所示,可以看出90KHz处有较大改善。

CE101测试结果如图16所示,图中最高点为400Hz基波电流值。从波形中可以看出,23次谐波处与仿真分析相近,略有超标,但在5、7、13等奇次谐波处相比仿真分析中的谐波值有所增大,也存在超标情况。针对这一情况进行了进一步分析和实验。

在额定功率下对三相输入电流进行测量,实际测试三相电流的有效值为38.34A、37.81A和36.91A,相电流最大相差1.43A,而仿真中的三相电流值几乎相等,在三相对称的情况下根据式(5)可知5、7、11、13等奇次谐波含量很低,也不会导致测试结果超标。然而,在实际测试和使用中,中频源的三相输入电压、滤波器三相滤波参数和整流电源变压器三相绕制情况不可能完全一样,导致整流电源输入三相电流存在不平衡。在不平衡时会影响输入电流阶梯波的合成,导致奇次谐波的抑制效果降低,从而实际测试的值大于仿真分析的值。
同时,由式(5)可知,输入电流各次谐波含量的值与整流电源输出电流幅值相关,谐波含量随着输出电流的增加而增加,而CE101测试的限值为定值,不随功率的变化而变化。因此在大功率场合下,极难通过CE101测试。针对超标点可通过单调谐滤波器对单一次数谐波进行抑制。但是由于滤波器体积空间限制,暂时无法进行工程实现。
为进一步探究滤波器及整流电源特性,在逐步降低整流电源输出功率后,对CE101进行测试。当整流电源输入功率小于4.5KW后,可满足CE101测试限值,输入功率4.5KW的测试结果如图17所示。

4 结束语
本文针对GJB151B-2013中电源线传导发射测试的重点和难点,对机载整流电源输入谐波抑制技术进行了分析测试。首先,利用24脉整流技术可满足飞机供电特性中ATHD小于10%的标准,降低了总电流谐波含量;然后,通过增加滤波器,采用三级滤波技术、差模电感和X电容对全频段谐波进行整体抑制,陷波器针对10KHz附近谐波重点抑制,共模电感和对地电容抑制高频共模干扰,可进一步大幅降低各次谐波含量;最后,实验结果表明输出功率可满足CE102测试要求,但对于CE101测试,仅可满足中小功率等级需求,在大功率情况下则极难通过。未来,可通过GJB151B中CE101测试的替代法或增加单调谐波滤波器进行进一步研究分析。





**为方便大家沟通,碳化硅 MOS 技术交流群已建,诚邀业内同仁、技术爱好者入群,共探前沿技术,交流实战经验,携手推动行业发展!
同时也欢迎添加作者个人微信交流合作:

感谢深圳市明古微半导体有限公司长期的赞助与支持!国产碳化硅,就找明古微!深圳市明古微半导体有限公司作为爱仕特科技碳化硅MOS/SBD、中科本原DSP、乐山希尔整流桥堆/FRD等的核心代理商,与其深度合作并联合开发碳化硅功率模块、电驱方案、储能系统,致力于为电动汽车、OBC、DC-DC、充电桩、光伏逆变、SVG、PCS、工业电源、家电变频等能源领域提供基于碳化硅功率器件及完整解决方案,更多信息请登录:www.mgmsemi.com
声明:此文部分内容取自网络素材,文中观点仅供分享交流,仅为传递信息为目的,若有来源标注错误或如涉及版权等问题,请与作者联系,将及时更正、删除,谢谢。
SiC MOS
更多信息请关注
微信公众号
邮箱:ymq@mgmsemi.com
深圳:深圳市光明区光明街道华强科技生态园5A栋1216
成都:成都市高新区双柏路68号汇创天下科技园西区1栋9层907
长沙:长沙市岳麓区麓谷科技创新创业园A1栋2404
上海:上海市闵行区万源路2161弄150号1号楼318
菲律宾:12 Ibayo St, Manila, Metro Manila, Philippines