本文将介绍如何根据开关波形计算使用了SiC MOSFET的开关电路中的SiC MOSFET的损耗。这是一种在线性近似的有效范围内对开关波形进行分割,并使用近似公式计算功率损耗的方法。关于根据开关波形计算功率损耗的方法,将按如下顺序进行介绍。首先是开关波形的测量方法。近年来,一些示波器已经具备可以自动计算并显示所观测波形的功率损耗的功能,但如果没有该功能,就需要通过测得的波形来计算损耗了。为此,需要了解具体的测量方法和波形。开关波形的测量方法
通过波形的线性近似分割来计算损耗的方法
根据测得波形计算功率损耗示例
各种波形的开关损耗计算示例
各种波形的导通损耗计算示例
SiC MOSFET:开关波形的测量方法
图1是开关电路、监测波形的探头以及测量示意图。我们使用差分探头来测量MOSFET的漏-源电压。另外,使用电流探头来测量漏极电流。
ton表示开通时间,toff表示关断时间,在该区间的VDS和ID重叠部分产生了开关损耗。由于该电路是感性负载,因此在开通时,ID会先开始变化,电流变化结束后VDS开始变化。关断时则相反,VDS先开始变化,电压变化结束后ID才开始变化。TON是MOSFET的导通区间,在该区间中,会因ID和MOSFET的导通电阻而产生导通损耗。在进行测量时有一些注意事项。第一个是示波器的采样率。如果采样率过低,就会漏掉波形的细节部分,从而导致测量结果出现误差。因此需要显示采样点并确认是否是准确跟踪而获得的波形。第二个是在电压探头和电流探头之间,由于延迟时间特性不同,所以测得的波形会因这种延迟差而存在误差。如果不进行任何校正,电压和电流之间就会在时间轴方向上出现偏差,图2阴影区域的面积就会不准确,从而导致损耗计算出现误差。要消除测量过程中的延迟差,就需要实施偏斜校正(de-skew)。具体方法请参阅测量设备的使用说明书和测量设备制造商提供的技术资料。除此之外,在处理测量点和探头操作等方面,请遵循对高电压和大电流进行高速开关的MOSFET的波形观测基本要求进行。
通过波形的线性近似分割来计算损耗的方法
通过在线性近似有效范围内对所测得的波形进行分割,可以计算出功率损耗。导通和关断区间的开关损耗
首先,计算开通和关断时间内消耗的功率损耗Pton和Ptoff。波形使用图3中的示例波形。功率损耗使用表1中的近似公式来计算。由于计算公式会因波形的形状而有所不同,因此请选择接近测得波形的近似公式。

在图3的波形示例中,开通时的波形被分割为两部分,前半部分(ton1)使用表1中的例2。另外,使用公式ID1≔0作为条件。后半部分(ton2)使用例3中的公式VDS2≔0。在图3中,会因MOSFET的导通电阻和ID而产生电压VDS2(on),但如果该电压远低于VDS的High电压,就可以视其为零。综上所述,可以使用下面的公式(1)来近似计算开通时的功率损耗。
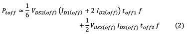
同样,将关断时的波形也分为两部分,前半部分(toff1)使用表1的例1中的公式VDS1≔0,后半部分使用(toff2)例8中的公式ID2≔0。在图3中,由于前述的原因,会产生电压VDS1(off),但如果该电压远低于VDS的High电压,则将其按“零”处理。这样,就可以使用下面的公式(2)来近似计算关断时的功率损耗。
导通期间的功率损耗
接下来,我们来计算导通期间消耗的功率损耗。图4是用来计算导通损耗的波形示例。由于在TON区间MOSFET是导通的,因此VDS是MOSFET导通电阻和ID的乘积。有关导通电阻的值,请参阅技术规格书。需要从表2中选择接近该波形形状的例子并使用其近似公式来计算功率损耗。
在本示例中,我们使用表2中的例1。MOSFET导通期间的导通损耗可以用下面的公式(3)来计算。
MOSFET关断时的功率损耗在图4中位于TOFF区间,由于MOSFET关断时的ID足够小,因此将功率损耗视为零。
总损耗
如公式(4)所示,MOSFET开关工作时的总功率损耗为此前计算出的开关损耗和导通损耗之和。
要注意的是,表1和表2中的每个例子都有“参见附录”的注释,在附录中有每个例子的详细计算示例。各计算示例将会在后续的“各种波形的开关损耗计算示例”和“各种波形的导通损耗计算示例”中出现。
声明:此文部分内容取自网络素材,文中观点仅供分享交流,仅为传递信息为目的,若有来源标注错误或如涉及版权等问题,请与作者联系,将及时更正、删除,谢谢。