明古微半导体
MGME SEMICONDUCTOR
碳化硅功率器件+电驱方案
新能源汽车.充电桩.工业电源.光伏储能.电力电子.低空飞行器...

国产碳化硅 就找明古微
技术学院
STUDY
摘要 提出了一种设计变频器散热系统的实用方法,建立了比较准确且实用的变频器中IGBT(绝缘栅型双极晶体管)模块的通态损耗和开关损耗的计算方法,考虑了温度对各种损耗的影响,采用热阻等效电路法推导得出了散热器及功率器件各点温度的计算公式,并给出了散热器热阻的实用计算公式。在此基础上设计了一套采用强迫风冷的散热系统,计算结果与试验结果的对比,验证了该设计方法的合理性与实用性。
关键词:变频器 损耗 热阻 散热系统
中图分类号:TM465
1 引言
近年来,随着大功率电力电子器件的发展,变频器的容量得到迅速提高,其散热系统设计已成为一个关键问题。实际经验表明,变频器散热系统设计的好坏,直接影响到变频器能否安全稳定的长时间工作。变频器发热的绝大部分是由功率器件的损耗引起,而功率器件本身对温度比较敏感,温度的变化会影响器件的开通和关断过程,并影响变频器的工作性能。为了限制功率器件的温升,常见的散热方式一般有自然冷却、强迫风冷、油冷和水冷四种。强制风冷的散热效果是自然风冷的5~10 倍,油冷或水冷的散热效果是自然冷却的120~150 倍。从结构的复杂性和实现的难易程度来看,强制风冷比水冷有着结构简单,实现容易和可靠性高等优点,因此功率在数百瓦到数百千瓦之间的变频器主要采用强制风冷进行散热。
目前对变频器散热系统已有一些研究[1-5],文献[1]在计算IGBT 通态损耗和开关损耗时忽略了结温对损耗的影响,造成了一定的误差。文献[2]在分析散热系统热阻等效电路时,认为IGBT 与快恢复二极管(FWD)结温相同,从而使热阻等效电路有着较大的偏差。文献[3]利用PSPICE 软件仿真计算IGBT 损耗时,需要建立较为准确的IGBT 模型,同时需要编程求解,较为繁琐,且结果误差较大,实用性不强。
本文针对采用IGBT 的变频器,提出了一种IGBT 模块损耗计算的实用方法,并考虑了温度对各种损耗带来的影响,利用热阻等效电路,推导得出了散热系统各点温度的实用计算公式,在此基础上设计了一套采用强迫风冷的散热系统。

2 变频器功率模块的损耗计算
功率器件工作时会产生功率损耗,变频器功率模块的损耗主要由IGBT 和快恢复二极管两个部分组成,且分别包括通态损耗和开关损耗。
2.1 通态损耗
通态损耗是指IGBT 导通过程中,由于导通压降而产生的损耗。对于带快恢复二极管的IGBT,其导通特性可以分别用下面的线性公式近似描述。

式中,vCE 和vF 分别为IGBT 和快恢复二极管的实际导通压降;rce_25℃和rF_25℃分别为IGBT 和快恢复二极管25℃时的额定通态电阻;Vce_25℃和VF_25℃分别为IGBT 和快恢复二极管25℃时的额定导通压降;Tj_Tr 和Tj_D 分别为IGBT 和快恢复二极管的实际结温;Kr_Tr 为温度对IGBT 通态电阻影响的温度系数;Kr_D 为温度对快恢复二极管通态电阻影响的温度系数;Kv_Tr 为温度对IGBT 导通压降影响的温度系数;Kv_D 为温度对快恢复二极管导通压降影响的温度系数;i 为PWM 逆变器输出电流。
采用SPWM或SVPWM时逆变器输出交流电压的基波u 为

式中,Uout 为实际电压的有效值;θ 为自变量相角。当开关频率足够高时,输出电流i 可近似等效为正弦电流,则有

式中,Iout 为实际电流的有效值;ϕ 为实际电流和实际电压之间的相角。给定PWM 方法的占空比 ξ 为

式中,M 为PWM 的调制度(相电压峰值除以1/2桥臂直流电压)。在恒定的频率下,占空比可以简化表示为相角θ 的函数。根据式(1)和式(2),经推导,输出正弦波电流时的IGBT 和快恢复二极管的通态损耗可以分别用下面的公式计算。

式中,Pcond_Tr 和Pcond_D 分别为IGBT 和快恢复二极管的通态损耗。
2.2 开关损耗
随着开关频率的提高,开关损耗在整个器件损耗中的比例也变得比较大,开关损耗包括开通损耗和关断损耗两部分。在给定环境条件下,器件导通或关断时的能量损耗(焦耳)可以通过间接的将电流和电压相乘再对时间积分这种方法得到[6],同时需考虑实际电流与参考电流以及实际电压与参考电压之间的差异。在一个开关周期内,IGBT 和快恢复二极管的开关损耗可以分别表示为

式中,fs 为载波频率;Eon 为IGBT 额定状态下的单脉冲开通损耗;Eoff 为IGBT 额定状态下的单脉冲关断损耗;Err 为快恢复二极管额定状态下的单脉冲关断损耗;Vcc 为桥臂电压;Irated、Vrated 分别为参考电流和参考电压;KswTr_I 为电流幅值对IGBT 开关损耗影响的电流系数;KswTr_V 为桥臂电压对IGBT 开关损耗影响的电压系数;KswD_I 为电流幅值对快恢复二极管开关损耗影响的电流系数;KswD_V 为桥臂电压对快恢复二极管开关损耗影响的电压系数;KswTr_T 为温度对IGBT 开关损耗影响的温度系数;KswD_T 为温度对快恢复二极管开关损耗影响的温度系数。最后需要特别指出,对于不同的栅极驱动电阻,单脉冲开关损耗Eon、Eoff 和Err 有一定的差异,需要从损耗曲线上合理选择。
2.3 系统总的损耗
单个IGBT 总的损耗PTr为通态损耗与开关损耗之和,即式(6)和式(8)之和

单个快恢复二极管总的损耗PD 为通态损耗与开关损耗之和,即式(7)和式(9)之和

系统总的损耗Ptot 为6 个IGBT 和6 个快恢复二极管损耗之和

3 变频器散热系统设计
变频器散热系统的设计包括三个方面,首先根据负载情况求取功率器件的损耗,并预取散热器热阻,然后通过热阻等效电路求取散热器与功率器件各点的温度,最后根据各点的温升,以及实际环境条件,确定最终的散热方案。
3.1 散热系统的热阻等效电路
本文采用热阻等效电路的形式分析散热系统热阻,将散热系统的损耗功率等效为电流源,热阻产生的温差等效为电压,热阻等效为电阻,如图1 所示。

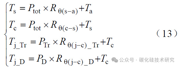
图1 中,Tj_Tr 为IGBT 的结温,Tj_D 为快恢复二极管的结温,PTr 为单个IGBT 总的损耗,PD 为单个快恢复二极管总的损耗,Rθ(j-c)_Tr 为单个IGBT 结-壳的热阻,Rθ(j-c)_D 为单个快恢复二极管结-壳的热阻,Rθ(c−a)为管壳到大气间的热阻,Rθ(c−s)为管壳至散热器的热阻,Rθ(s−a)为散热器到大气间的热阻,Tc为IGBT 管壳温度,Ts 为散热器表面温度,Ta 为环境温度。Rθ(c−a)相对于Rθ(c−s)和Rθ(s−a)数值很大,因此与Rθ(c−s)和Rθ(s−a)并联时可忽略。
由散热系统的热阻等效电路,经推导可求得散热系统各点的温度

3.2 散热器的热阻计算
强制空气冷却用散热器的热阻经验公式为[7-8]

式中,k 为散热器热导率,单位为W/(cm·℃);d为散热器基板厚度,单位为cm;A 为散热器有效散热面积,单位为cm2;C1 为散热器表面状况和安装状态相关的系数,散热器水平安装与垂直安装时的散热效果不同;C2 为强迫风冷条件下散热器相对热阻系数;C3 为空气换热系数。
3.3 散热系统设计
对于强迫风冷的散热系统,降低散热器热阻的主要方法有:①对散热器根部的厚度、翼片的高度、翼片的厚度和翼片的数目进行合理的优化[9-10]。②在材料费用和加工费用允许的情况下,应选择导热系数较高的材料,铝通常是优先考虑的材料,在要求特别高的场合也可以采用铜。③将散热器垂直放置,利用相对较轻的热气流形成烟囱效应。④对散热器表面进行黑化处理,可以有效地改善热辐射性能。在散热器表面和环境之间的温度差为50℃时,黑化后的散热器热阻约降低15%。⑤通过合理优化散热系统的风道形状[10],从而改变空气相对于散热器表面的流动方向,在空气流场中加入紊流,增强系统对流换热效果。其中,紊流时的散热效果为层流时的3~4 倍[11-13]。⑥采用多个高转速、大功率风扇,通过提高空气流动速度,增强系统换热效果。为了提高系统的散热效果,本文所设计的散热系统设计采用了图2 所示的方案,空气流直接冲击散热器表面,空气流场以紊流为主。由于散热器表面的阻碍作用,在紊流边界层的底部形成极薄的一层层流底层。紊流时对流换热除贴壁的层流底层外,紊流核心的速度分布和温度分布都较为平坦,主要热阻在层流底层中。由于层流底层极薄,温度梯度大,所以紊流换热强度远远超过层流。散热器的热阻较小,散热效果较好。这种散热系统可用于要求变频器的体积比较小的领域。

本文选用了表面发黑的插片式铝制散热器,散热器热导率k 为2.08W/(cm·℃);散热器垂直安装,取系数C1=0.50;采用四个风速为4m/s 的轴流风机作为冷却风扇,取系数C2=0.40;空气流场以紊流为主,取系数C3=0.12[8];根据表1 中散热器参数,利用式(14)可计算散热器热阻Rθ(s−a)=0.053℃/W。


4 计算结果与试验结果比较
本文所设计的变频器容量为70kVA,相关参数如下:桥臂电压Vcc=500V,开关频率fs=10kHz。根据以上的要求, 选用德国西门康公司的IGBT(SKM300GB128D)作为系统主电路的开关器件,其额定电压1200V,额定电流300A,开关频率20kHz,符合系统设计的要求,且有一定的裕度。
4.1 计算结果
由前面的分析可知,利用式(6)~式(9)计算IGBT 和FWD 的通态损耗和开关损耗时,需确定一些系数,通过试验并参考器件手册提供的数据,得出SKM300GB128D 的相关参数如表2 所示,根据前面设计的散热器,并将表2 参数代入相关公式,计算变频器输出电压Uout=200V , 输出电流Iout=110A,功率因数cosϕ =0.815,环境温度Ta= 20℃时的各种损耗以及各点的温度为:单个IGBT 通态损耗Pcond_Tr=69.8W, 单个IGBT 开关损耗Psw_Tr=78.0W,单个FWD 通态损耗Pcon_dD=9.1W,单个FWD 开关损耗Psw_D=21.9W,系统总的损耗Ptot=1072.8W;散热器表面温度Ts=76.9℃,管壳温度Tc=90.8℃,IGBT 结温Tj_Tr=103.4℃,FWD 结温Tj_D=96.4℃。

4.2 试验结果
实际试验中,所设计的变频器驱动一台50kW的永磁同步电动机,输出电流为110A,环境温度为20℃,在输出功率为53.79kW,输出电压为200V,稳定运行时,系统总损耗的测量值为1071W,通过温度传感器测量散热器表面温度为Ts=74.8℃ ,IGBT 壳温为Tc=88.5℃,可以看出实测结果与计算结果较为吻合。
5 结论
本文针对70kVA 变频器的散热系统进行了研究设计。推导了PWM 时的IGBT 模块的损耗计算公式,通过系数修正结温对IGBT 和FWD 的导通压降的影响,并考虑电压、电流、温度对IGBT 和FWD的开关损耗的影响,提高了功率模块的损耗的计算精度。散热器热阻的准确计算是变频器散热系统设计的另一重要参数,分别采用相应系数修正安装方式、风冷形式、空气流动性质等对热阻的影响,可以计算获得较准确的散热器热阻值。采用热阻等效电路法进行变频器的散热系统设计,可以较准确地计算热路上各点的温度,能够满足工程设计要求。
参考文献
[1] 续明进, 张皓, 董武. 高压变频器散热与通风的设计[J]. 变频器世界, 2005, 9(5): 68-71.
Xu Mingjin, Zhang Hao, Dong Wu. Design of ventilation and heat sinking in high voltage inverer[J].The World of Inverters, 2005, 9(5): 68-71.
[2] 王丹, 毛承雄, 范澎, 等. 高压变频器散热系统的设计[J]. 电力电子技术, 2005, 39(2):115-117.
Wang Dan, Mao Chengxiong, Fan Peng, et al. Design of heat sinking in high voltage variable frequency drive system[J]. Power Electronics, 2005, 39(2): 115-117.
[3] 曹永娟, 李强, 林明耀. 基于PSPICE 仿真的IGBT功耗计算[J]. 微电机, 2004, 37(6): 40-42.
Cao Yongjuan, Li Qiang, Lin Mingyao. Method of estimating power loss of IGBT based on PSPICE simulation[J]. Micro Motor, 2004, 37(6): 40-42.
[4] 刘卫, 解金芳, 莫易敏. 600A IGBT 开关电路及其散热系统设计[J]. 武汉理工大学学报, 2003, 25(9):63-64, 68.
Liu Wei, Xie Jinfang, Mo Yimin. The 600A IGBT switched circuit and design of the heat-emitting system[J]. Journal of Wuhan University of Technology,2003, 25(9): 63-64,68.
[5] 徐殿国, 李向荣. 极限温度下的电力电子技术[J].电工技术学报, 2006, 21(3): 15-23.
Xu Dianguo, Li Xiangrong. Power electronics in extreme temperature applications[J]. Transactions of China Electrotechnical Society, 2006, 21(3): 15-23.
[6] Kim M K, Jang K Y, et al. A novel IGBT inverter module for low-power drive applications[C]. IEEE 33rd Annual Power Electronics Specialists Conference (PESC), 2002: 648-652.
[7] 郑琼林. 电力电子电路精选[M]. 北京:电子工业出版社, 1996.
[8] 张舟云, 徐国卿, 沈祥林. 牵引逆变器散热系统的分析与设计[J]. 同济大学学报(自然科学版), 2004,32(6): 775-778.
Zhang Zhouyun, Xu Guoqing, Shen Xianglin. Analyzing and designing of dissipation system of inverter[J].Journal of Tongji University(Natural Science), 2004,32(6): 775-778.
[9] 谢少英, 赵惇殳, 王世萍. 型材散热器的优化设计[J]. 电子机械工程, 2001, 17(6):28-32.
Xie Shaoyin, Zhao Dunshu, Wang Shiping. Optimal design of section bar heat sinks[J]. Electro-Mechanical Engineering, 2001, 17(6):28-32.
[10] 付桂翠, 高泽溪. 影响功率器件散热器散热性能的几何因素分析[J]. 电子器件, 2003, 26(12):354-357.
Fu Guicui, Gao Zexi. Analysis of geometric factors on effect upon the capability of heat sink of power component[J]. Chinese Journal of Electro Devices,2003, 26(12):354-357.
[11] 俞佐平. 传热学[M]. 北京:人民教育出版社, 1989.[12] 杨旭, 马静, 张新武, 等. 电力电子装置强制风冷散热方式的研究[J]. 电力电子技术, 2000, 34(8): 36-38.
Yang Xu, Ma Jing, Zhang Xinwu, et al. Research on heatsinking mode of the power electronic equipment with forced cooling[J]. Power Electronics, 2000,34(8): 36-38.
[13] 刘一兵. 功率器件散热技术的研究[J]. 湖南工业大学学报, 2007, 21(4):77-79.
Liu Yibing. Research on heat dissipation technology for power device[J]. Journal of Hunan University of Technology, 2007, 21(4): 77-79.
**为方便大家沟通,碳化硅 MOS 技术交流群已建,诚邀业内同仁、技术爱好者入群,共探前沿技术,交流实战经验,携手推动行业发展!
同时也欢迎添加作者个人微信交流合作:

感谢深圳市明古微半导体有限公司长期的赞助与支持!国产碳化硅,就找明古微!深圳市明古微半导体有限公司作为爱仕特科技碳化硅MOS/SBD、中科本原DSP、乐山希尔整流桥堆/FRD等的核心代理商,与其深度合作并联合开发碳化硅功率模块、电驱方案、储能系统,致力于为电动汽车、OBC、DC-DC、充电桩、光伏逆变、SVG、PCS、工业电源、家电变频等能源领域提供基于碳化硅功率器件及完整解决方案,更多信息请登录:www.mgmsemi.com
声明:此文部分内容取自网络素材,文中观点仅供分享交流,仅为传递信息为目的,若有来源标注错误或如涉及版权等问题,请与作者联系,将及时更正、删除,谢谢。
SiC MOS
更多信息请关注
微信公众号
邮箱:ymq@mgmsemi.com
深圳:深圳市光明区光明街道华强科技生态园5A栋1216
成都:成都市高新区双柏路68号汇创天下科技园西区1栋9层907
长沙:长沙市岳麓区麓谷科技创新创业园A1栋2404
上海:上海市闵行区万源路2161弄150号1号楼318
菲律宾:12 Ibayo St, Manila, Metro Manila, Philippines